Media perception of drought 2018 ¶
Background ¶
The drought in 2018 was perceived very differently by the population and the media. The following questions arise:
- What issues concern the population with regard to drought?
- How unusual is the perception of drought in 2018? How relevant/cutting is the drought 2018 considered to be for personal everyday life, for the community and for Swiss society? What is the focus of the media? (Drinking water/groundwater; winter tourism/snow; transport/Rhine shipping; agriculture/subsidies)
- What consequences/follow-up risks of drought are considered to be particularly significant?
- What causes of drought are suspected? What is the significance of climate change?
- What measures should be taken to deal with future droughts? Has perception and interest changed since July 2018?
Analysis ¶
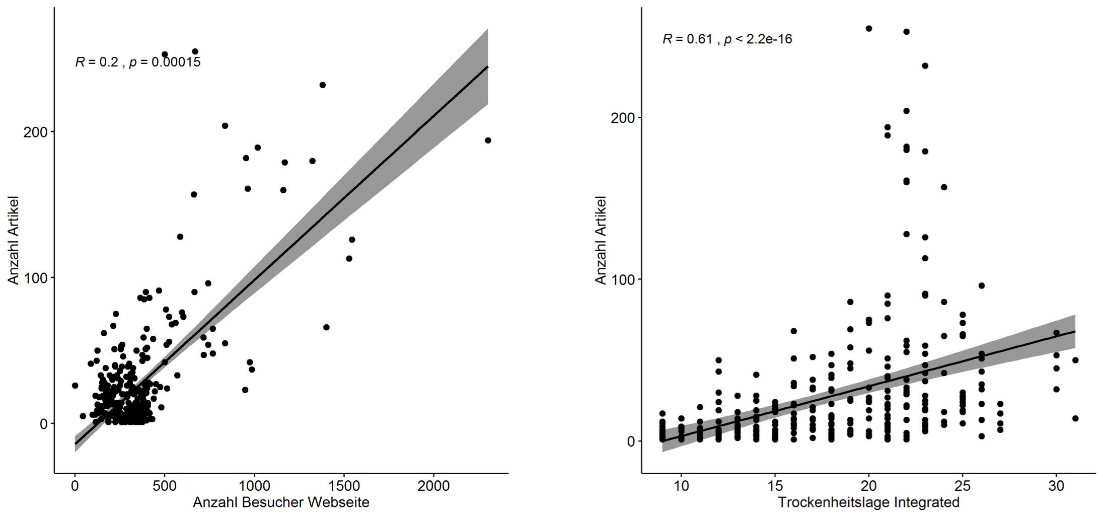
The access statistics of the drought.ch platform are evaluated: 1) temporal analysis, which typed maps are considered more often, which less; correlation between accesses and media releases (also regional concerning the nine hydroclimatic major regions, between accesses and meteorological conditions as well as a connection between the colouring of the typed maps and the accesses is recognizable. 2) Search for media articles (Swissdox) as well as the analysis of the occurring terms, their occurrence frequency and the identification of the terms (in which application context they appear; keyword: term clouds). 3) Conduct exploratory interviews with regionally different actors in two to three typical regions of Switzerland, determine random samples in the study regions and evaluate the data statistically (descriptive, group comparisons, correlations).
First results ¶
Publication ¶
- Poster to the WSL Research Day 2019 [Bernhard et al.]